












ReCharge Red Light Therapy Panel: Touch Screen, Adjustable Brightness & Pulsed Frequencies
Versatile red light therapy panel with user-friendly touchscreen and customizable settings.
Product Details
** ReCharge orders will be shipped directly from our manufacturer. Please allow ~3 - 4 weeks for delivery **
Thank you for your patience and understanding!
Recharge (v.):
: to regain energy or spirit
: to refill with electric charge
: to inspire or invigorate afresh : RENEW
The ReCharge is the most versatile, cutting-edge tabletop red light therapy panel on the market!

This updated version of the ReCharge has multiple upgrades to an already cutting-edge red light therapy panel. On top of BioLight's patent-pending Dual LED technology (that allows for every single LED to produce red or NIR light versus only red or NIR light), this panel includes:
-
No more physical buttons — now you control everything on a touch screen!
-
More compact panel/stand design, making it easier to move from room-to-room & travel with!
-
Light settings: red/NIR light combo, red light only & NIR light only
-
Adjustable timer
-
Adjustable light irradiance (from 1 - 100% brightness)
-
Adjustable pulsed frequencies (from 0 - 10,000 Hz)

Adjustable light irradiance: Being able the adjust the brightness/power of the light allows you to further fine-tune and dictate your treatment dosage. For example, the skin and the eyes require very low treatment dosages whereas the brain, bones and nerves require much higher treatment dosages in order to realize beneficial results. By being able to manually adjust the light irradiance, you can now lower the light power to assure that you won't be "overdosing" for those conditions that require less light energy or you can increase the light irradiance to augment those conditions that require larger amounts of light energy.
Adjustable pulsed frequencies: Research has demonstrated that various pulsed frequencies of light can be beneficial for specific conditions. For example, a study utilizing 40 Hz oscillations has been shown to be especially beneficial for mitigating and/or reversing signs and symptoms of cognitive decline that precede Alzheimer's disease.
Leading the red light therapy space in safety, BioLight panels incorporate the lowest light flicker on the market and the lowest EMF emissions possible.
At the end of the day, you are getting the best of all worlds with BioLight: superior light therapy innovation, education/protocol treatments, safety and superior customer service!
Package Includes
-
ReCharge panel (with power plug of your country's shipping address)
-
Protective eyewear
-
Owner's Manual
-
The Red Light Therapy Guide ebook
ReCharge Specs
-
Dimensions: 11.3" x 8.3" x 2.6"
-
Weight: 8 lbs
-
LEDs: 60
-
Light Spectrum: 660nm (red) & 850nm (near-infrared)
-
Three light settings: all red, all NIR or combo red/NIR
-
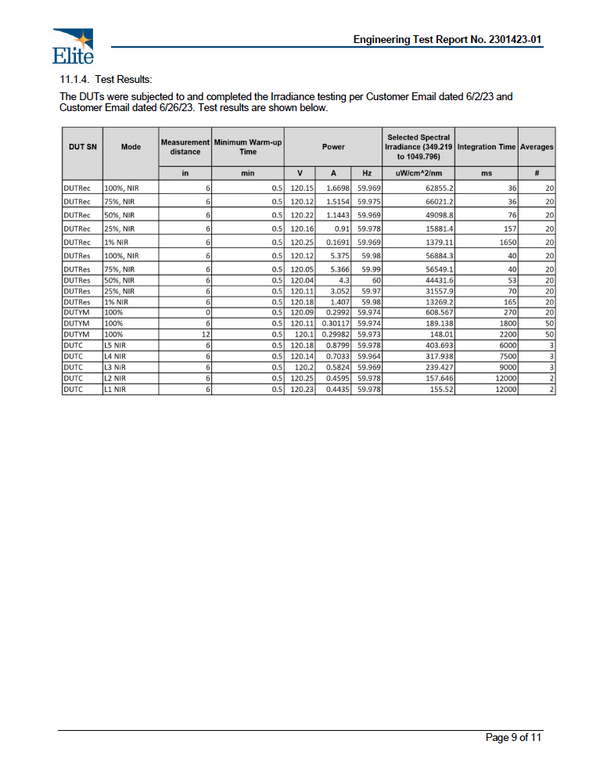
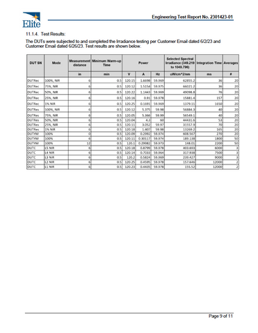
Light Irradiance (@ 6"):
-
100%: 63 mW/cm²
-
75%: 66 mW/cm²
-
50% 49 mW/cm²
-
25%: 16 mW/cm²
-
1%: 14 mW/cm²
-
-
Light Pulsing: 1 - 10,000 Hz
-
Light flicker: 1.2% modulation, 60 Hz
-
EMF Emission (see picture below for safe levels):
-
Standard magnetic: 0.3 mG
-
Standard electric: 30 V/m
-
Weighted magnetic: 0.3 mG
-
Weighted electric: 24 V/m
-
RF: 0.5 mW/m²
-
-
Focusing Lens Beam Angle: 30°
-
Cooling fans: 2
-
Power: 136W
-
Electrical Input: 100-240VAC 50/60Hz (meaning this panel works both with US/Canada and international power supply)
-
LED Lifespan: 100,000 Hours
-
Programmable timer
-
Return Period: 60 days
-
Warranty: 3 Years
The below is a photo from the owner's manual of the Tri-Field EMF Meter:

Third Party Test Results




How to Use
Third Party Test Results




Targeted Light, Total Wellness Control
ReCharge is a cutting-edge red light therapy panel engineered for precision wellness at home. With its sleek design, integrated touchscreen, adjustable brightness.
Precision-Controlled Red & Near-Infrared Light
Delivers concentrated, high-intensity wavelengths with adjustable brightness
Customizable Wellness Experience
Advanced touchscreen interface allows you to fine-tune your therapy sessions
High-Impact Recovery for Performers
Whether you're an athlete recovering from training, a high performer combating fatigue
Smart Longevity Support at Your Fingertips
Built for consistent, long-term use, ReCharge supports healthy aging
Targeted Regeneration Through Precision Light Therapy
Engineered for customizable performance, the ReCharge Red Light Therapy Panel delivers concentrated red and near-infrared wavelengths with advanced touch-screen controls, adjustable brightness, and pulsed frequency settings.
Questions?
Have more questions? Visit our Help Center or inquire at support@biolight.shop
What makes the ReCharge Panel different from other red light therapy devices?
ReCharge stands out with its precision features—an intuitive touchscreen interface, adjustable brightness levels, and pulsed frequency modes—allowing users to personalize each session for optimal results in energy, recovery, and skin health.
What types of light does the ReCharge Panel use?
ReCharge uses clinically validated red and near-infrared wavelengths (typically 660nm and 850nm) to penetrate deep into tissue, stimulate mitochondrial function, reduce inflammation, and accelerate cellular regeneration.
Can I use the ReCharge Panel every day?
Yes, the ReCharge Panel is designed for safe daily use. Most users benefit from 10–20 minute sessions per targeted area, 3–7 times per week, depending on their goals and sensitivity.
What wellness goals can the ReCharge Panel support?
ReCharge supports a wide range of goals including improved muscle recovery, reduced joint pain, enhanced skin appearance, boosted energy levels, cognitive clarity, and overall cellular health.
Is it easy to set up and use at home?
Absolutely. ReCharge features a user-friendly touch screen for quick setup, customizable settings for session control, and a sleek design that fits seamlessly into any home wellness space.
Discover More BioLight Products
Wordwide Shipping
We proudly serve customers worldwide and ship globally.
60-Day Trial
Try BioLight for 60 days with an easy return process.
Warranty
BioLight offers a 3-year warranty. GUARANTEED.







