Home Guardian+ Oral Device with Patent-Pending Blue & Red/NIR Light for Teeth Whitening & Oral Health
Science-informed Protocol-led Premium wellness
Guardian+ Oral Device by BioLight showcasing its innovative blue and red/NIR light technology for effective teeth whitening and oral health benefits.
Close-up of the Guardian+ Oral Device by BioLight featuring LED lights, designed for both teeth whitening and red light therapy.
Guardian+ Oral Device by BioLight with blue light settings visible, designed for professional teeth whitening at home.
Showcasing the Guardian+ Oral Device from BioLight, highlighting its unique features for oral health and teeth whitening.
Guardian+ Oral Device by BioLight displayed with its components, emphasizing the innovative design for effective oral care.
BioLight's Guardian+ Oral Device showing off its flexible mouthpiece and blue/red light settings for a personalized whitening experience.
Guardian+ Oral Device from BioLight, demonstrating its user-friendly design for at-home teeth whitening and oral health treatment.
Close-up image of Guardian+ Oral Device by BioLight, highlighting its advanced lighting technology for oral health care.
Guardian+ from BioLight, illustrating the powerful blue and red/NIR light technology for teeth whitening efficiency.
Showcasing the Guardian+ Oral Device by BioLight with a focus on its sleek design and effective light therapy settings.
Guardian+ Oral Device by BioLight shown with Teeth Whitening Gel Pens, featuring three light settings for customizable treatment.
Detailed view of the Guardian+ Oral Device by BioLight, highlighting the combination of blue light and red light technology.
Guardian+ Oral Device from BioLight, depicted with charging components and instruction manual for at-home use.
BioLight's Guardian+ Oral Device designed for teeth whitening, shown in multiple angles to display its innovative features.
Guardian+ Oral Device by BioLight in use, illustrating how it can fit comfortably while performing teeth whitening treatments.
Illustration of the Guardian+ device by BioLight, focusing on its key features for improving oral health and aesthetic appearance.
BioLight's Guardian+ Oral Device with clear indicators for blue and red light therapy settings showcased for optimal teeth whitening.
Profile view of Guardian+ Oral Device by BioLight demonstrating its efficient design for effective oral health treatments.
Guardian+ by BioLight featuring its unique light therapy technology in a colorful presentation to attract modern dental care users.
Guardian+ Oral Device from BioLight aligned with its packaging for an attractive and informative product display.
Complete feature set display of BioLight's Guardian+ Oral Device, showing how it can transform your oral health routine.
1 29
How to use

Build this into your routine

Session Time: 5 minutes per cycle
Frequency For Guardian+, session time is more relevant than dosage because the device is built around an automated cycle and preset light modes. If you want to treat both upper and lower arches, run two back-to-back 5-minute cycles and rotate the device 180° between cycles.
Best for Teeth whitening, gum tissue support, oral microbiome balance, and daily oral wellness maintenance.
Pairs well with Illume Sonic Toothbrush for everyday brushing plus light-based oral support.
Guardian+ makes it easier to combine cosmetic whitening and oral recovery support in one simple step. It fits naturally into a daily routine because the treatment is fast, hands-free, and easy to repeat consistently.
Why it stands out

Designed to feel credible and premium

Triple-light system
Three treatment modes
36% carbamide peroxide gel included
Fast 5-minute cycle with broad 120° beam angle
Guardian+ stands out because it does more than brighten your teeth. It combines blue-light whitening support with red and near-infrared photobiomodulation in a single mouthpiece, giving you a more complete oral-care tool for appearance, gum support, and everyday tissue resilience.

Guardian+ Oral Device with Patent-Pending Blue & Red/NIR Light for Teeth Whitening & Oral Health

Sale price £303.00
Add to Wishlist Add to Compare

Safe Checkout

Visa
PayPal
Mastercard
American Express
Diners Club
Discover

Explore the science and media

Guardian+ Oral Device with Patent-Pending Blue & Red/NIR Light for Teeth Whitening & Oral Health

Guardian+ Oral Device with Patent-Pending Blue & Red/NIR Light for Teeth Whitening & Oral Health

£303.00
Technology spotlight

Advanced Technology Features

Discover the innovative technologies that power our wellness devices
Technology system

Why these device features work better together

A device designed as a system, not a single feature

Each technology and design element is selected to complement the others, helping create a more intentional device experience. The result is a more complete wellness tool built for usability, consistency, and premium product education.

Combines cosmetic whitening support and oral tissue photobiomodulation in one session-friendly platform.
Supports a healthier-looking smile while also addressing gum comfort, circulation, and tissue resilience.
Gives you flexible treatment paths through blue-only, red/NIR-only, and combo settings.
Improves the likelihood of consistent use through short cycles, broad mouth coverage, rechargeable power, and included whitening gel.

What it Targets

These grades are evidence-informed editorial scores based on the ReStore’s wavelength profile, output controls, full-body format, and the current PBM literature.

Mitochondrial energy production
93%
Advanced Support
Supports cellular energy signaling in oral soft tissues.
Cellular Energy Support

Guardian+ earns an advanced score here because its 630 nm and 850 nm wavelengths fall within the red/NIR ranges most often associated with cytochrome c oxidase activity, ATP support, and tissue-repair signaling.

Inflammatory load and oxidative stress
88%
Core Support
Supports a healthier inflammatory balance in gum and oral tissues.
Inflammation Balance

The product is directly linked to red/NIR oral tissue support, and broader photobiomodulation literature consistently connects these wavelengths with inflammation modulation, recovery support, and improved healing responses in oral tissues.

Muscle recovery and performance adaptation
62%
Moderate Support
Offers indirect recovery support through oral comfort and reduced tissue stress.
Recovery Support

Guardian+ is not designed as a full-body muscle recovery device, but healthier oral tissues, lower inflammatory burden, and improved daily comfort can still support broader recovery habits and overall readiness.

Skin regeneration and collagen signaling
73%
Core Support
Supports tissue renewal pathways relevant to gums and oral soft tissue.
Tissue Renewal

Red and near-infrared photobiomodulation are closely tied to fibroblast activity, tissue regeneration, and wound-healing pathways, which gives Guardian+ meaningful relevance for oral soft-tissue renewal even though it is not a facial skin device.

Oral microbiome and gum tissue support
95%
Advanced Support
Supports a cleaner, more balanced oral environment and healthier-looking gums.
Oral Microbiome Support

This is Guardian+’s strongest target because the system combines antimicrobial blue light principles with red/NIR support for gum tissue, circulation, and healing, making it highly relevant to everyday oral wellness.

Systemic recovery and longevity optimization
76%
Core Support
Supports one of the body’s most important daily wellness gateways: the mouth.
Whole-Body Wellness Link

Oral inflammation, microbial balance, and tissue integrity have clear downstream relevance for whole-body wellness, so supporting the oral environment can play a meaningful role in a broader longevity-focused routine.

Guided product journey

What to Expect

Every wellness journey is different. This timeline is designed to help set expectations as you build consistency and learn how this product fits into your routine.

Individual experiences may vary. This information is intended for general wellness education and should not be interpreted as medical advice.

Whiter Teeth. Broader Oral Support.

Guardian+ is a patent-pending oral care device that combines blue light with red and near-infrared light in one flexible mouthpiece system—designed to support teeth whitening while also bringing a more advanced light-based approach to daily oral wellness. It’s built for consistent coverage, hands-free use, and a more proactive oral care routine.

How to Use

Simple steps for optimal results

Quick Start Guide

Watch this quick guide to get started.

1

Apply the Whitening Gel

Apply the whitening gel to the teeth or as directed for your whitening routine before starting the blue-light or combo session. Guardian+ includes three carbamide peroxide gel pens specifically for this purpose.

2

Insert the Mouthpiece

Place the Guardian+ mouthpiece comfortably in your mouth so the LEDs are positioned for even coverage. The flexible BPA-free silicone design is made for hands-free intraoral use.

3

Select Your Mode

Choose blue-only, red/NIR-only, or combo mode depending on whether your goal is whitening, gum support, or both.

4

Run the 5-Minute Cycle

Start the automated session and let the device complete its cycle. For full upper-and-lower coverage, rotate the device 180° and run a second cycle.

5

Clean and Store

After use, let the device cool, wipe the mouthpiece with a gentle non-abrasive cleaner, and store it in the case until the next session.

Best Time to Use

After brushing Daily routine

Helpful Tips

  • Use it at the same time each day to build consistency.
  • Pair it with brushing and flossing rather than using it as a replacement.
  • Stay consistent for several weeks before judging the full effect.
  • Keep the mouthpiece clean and fully dry before storing.
  • Use the full automated cycle instead of shortening sessions randomly.

Always follow label directions. Consult your healthcare provider if you have questions.

Choose the Right Red Light Oral Device for You

Compare Guardian+ and Guardian side by side to find the right fit for your oral care routine. Explore differences in light technology, whitening support, treatment modes, session length, and included accessories so you can choose the device that best aligns with your wellness goals.
Compare products side by side
Guardian+ Oral Device with Patent-Pending Blue & Red/NIR Light for Teeth Whitening & Oral Health

Guardian+

£303.00
Guardian: Oral Care Red & NIR Light Therapy Device | Patent-Pending Dual LEDs for Health & Hygiene

Guardian

£227.00
Primary focus Teeth whitening plus oral wellness support Oral wellness, gum support, circulation, and oral hygiene maintenance
Light types Blue + Red + Near-Infrared Red + Near-Infrared only
Wavelengths 460nm, 630nm, 850nm 630nm, 850nm
Whitening capability Yes No
Treatment modes 3 modes: blue only, red/NIR only, or combo mode Single red/NIR treatment mode
Session timer 5-minute automated timer 16-minute automated timer
Light irradiance Red/NIR: 28 mW/cm²; Blue: 20 mW/cm² @ 0" 20 mW/cm² @ 0"
Beam angle 120° 120°
Battery / charging Magnetic USB charging; 2.5+ hours runtime Magnetic USB charging; 2.5+ hours runtime
Mouthpiece Flexible BPA-free silicone mouthpiece Flexible BPA-free silicone mouthpiece
Use the arrows to compare more products

Product Specifications

Device Type:
Oral light therapy and teeth whitening device
Light Modes:
Blue-only, Red/NIR-only, Combo mode
Blue Wavelength:
460 nm
Red Wavelength:
630 nm
Near-Infrared Wavelength:
850 nm
Red/NIR Irradiance at 0 in:
28 mW/cm²
Blue Irradiance at 0 in:
20 mW/cm²
Beam Angle:
120°
Timer:
Automated 5-minute cycle
Charging:
Magnetic USB charging
Battery Runtime:
2.5+ hours per full charge
Mouthpiece Material:
Flexible BPA-free silicone
Water Resistance:
Waterproof design
Included Whitening System:
Three 2-oz whitening gel pens, 36% carbamide peroxide
In the Box:
Guardian+ device, USB magnetic charging cord, storage case, user manual

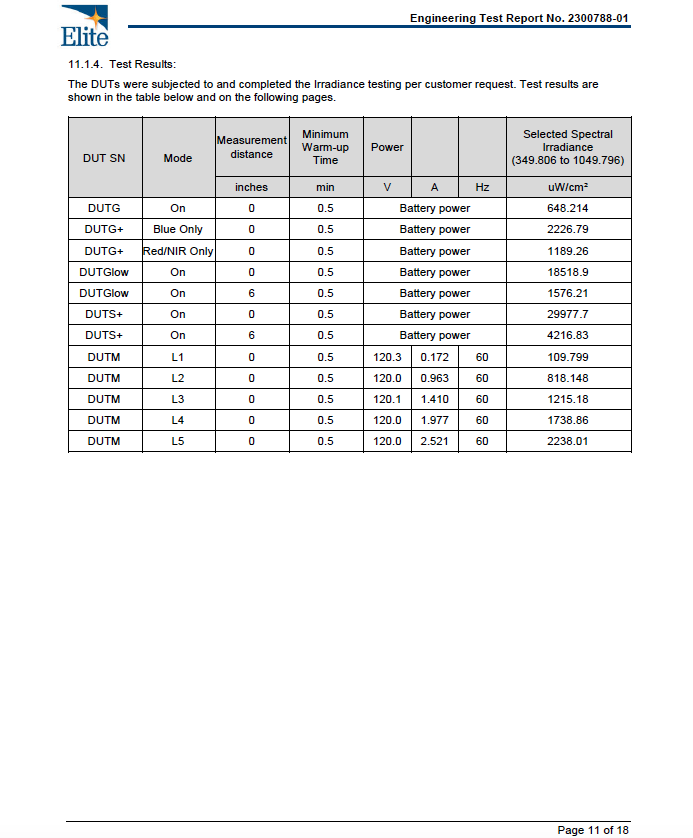
Third Party Testing Results

Illustration of the Guardian+ device by BioLight, focusing on its key features for improving oral health and aesthetic appearance.
Swipe through the document thumbnails to preview additional files.
Frequently Asked Questions
Guardian+ is designed to work best with the included whitening gel. The blue light helps support the whitening process, while the carbamide peroxide gel does the stain-lifting work that drives visible brightening.
Each cycle lasts 5 minutes. Many users run two cycles, rotating the device between them, to treat both upper and lower arches more evenly.
Yes. Guardian+ is positioned as more than a whitening device because its red and near-infrared wavelengths are directly linked to oral photobiomodulation, while blue light also supports a cleaner oral environment.
Yes. Carbamide peroxide is a well-established whitening ingredient, and current evidence suggests high-strength carbamide peroxide can deliver bleaching results comparable to hydrogen peroxide while potentially causing less sensitivity in some users.
Have a question

If you have an issue or question that requires immediate assistance, you can click the button below to chat live with a Customer Service representative.

Please allow 6 - 12 business days from the time your package arrives back to us for a refund to be issued.

Contact Us Live chat

Latest articles

Podcast episodes