

Glow: Portable Red Light Therapy Device - Slimmest Handheld Solution for On-the-Go Relief
Slim, portable red light therapy device ideal for pain relief anywhere.
Product Details
The Glow is the newest handheld red light therapy product from BioLight. It is a sleek, sexy and simple device that lives up to its name!
Compared to the higher-powered Shine handheld device (where the light can feel harsh to the eyes), the Glow emits a much softer, more soothing light that literally relaxes, and feels nourishing to, the eyes and the rest of the body.
Not only that, the Glow is a much simpler red light therapy device. There are no light setting options, so you don't constantly have to think about and consider which lights to use (i.e., should I used red light only? Near-infrared (NIR) light only? Combo?). You simply power on the device and enjoy the soft, calming radiance of red and NIR light.
The Glow is also the slimmest handheld red light therapy device on the market. You can literally stick it in your pocket like a phone, making your on-the-go red light therapy treatments easier and more fashionable than ever before!
Like all handheld BioLight devices, the Glow has zero EMF emission and zero light flicker.
An optional stand can be added at the time of purchase to increase the versatility of the Glow and make handheld treatments truly a treat!
Package Includes
- Glow device
- Silicone protective case
- USB Type C charging cord
- User Manual
- Red Light Therapy Treatment Protocols eBook
Glow Specs
- Dimensions: 6.2" x 3" x 0.53"
- Weight: 0.6 lbs
- Spectrum: 660nm (red) & 850nm (NIR)
- Light irradiance: 18.5 mW/cm ² @ 0", 1.6 mW/cm ² @ 6"
- EMF Emission: 0.0 µT @ 0” (it can be zero since it powers via an internal battery and not electricity)
- Light flicker: 0 Hz (like EMF emission, it can be zero because it is power via an internal battery)
- Automated 10-minute timer
- Focusing Lens Beam Angle: 90°
- Power: 1W x 18 LEDs
- Battery life: 80 minutes
- Recharging time: 60 minutes
- 60-day trial period
- Limited 3-year warranty
*Due to the very low light irradiance of this device, eye protection is not required
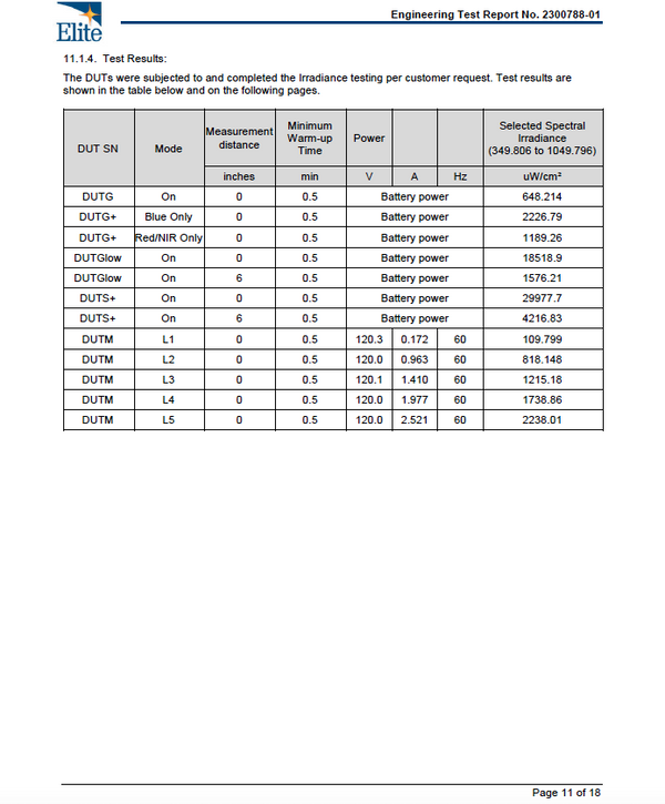
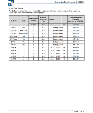
Third Party Test Results







How to Use
Third Party Test Results







Instant Radiance, Deep Renewal—Anywhere, Anytime
Experience targeted skin transformation in the palm of your hand. Glow delivers red and blue light therapy in a compact, travel-ready design that fits into your daily routine effortlessly.
Dual-Wavelength Power for Real Results
Red light boosts collagen and elasticity to smooth fine lines and firm skin.
Compact Yet Powerful Skin Rejuvenation
Glow energizse skin at the cellular level—stimulating ATP production.
Made for Busy Lives & Beauty Goals
Whether you're dealing with blemishes, redness, or tired-looking skin.
Your Glow Ritual, Anytime You Need It
Use it at home, at work, or on vacation—Glow fits seamlessly into your lifestyle.


On-the-Go Glow, Backed by Science
Glow delivers powerful red and blue light therapy in a sleek, travel-friendly design to visibly enhance skin tone, reduce breakouts, and soften fine lines. Built for daily use and proven by science, it’s your effortless path to radiant, youthful skin—anytime, anywhere.
Questions?
Have more questions? Visit our Help Center or inquire at support@biolight.com
What does Glow actually do for my skin?
Glow uses clinically proven red and blue light wavelengths to reduce breakouts, boost collagen production, and improve overall skin tone—helping you achieve clearer, firmer, and more radiant skin with regular use.
How often should I use Glow?
For best results, we recommend using Glow for 10 minutes per treatment area, 3–5 times per week. It's safe for daily use and fits easily into any routine, whether at home or on the go.
Is Glow safe for all skin types?
Yes! Glow is non-invasive, UV-free, and designed to be gentle yet effective for all skin tones and types, including sensitive and acne-prone skin.
How long before I see visible results?
Some users notice a refreshed glow after just a few sessions. Most see visible improvements in texture, tone, and clarity within 4–6 weeks of consistent use.
Can I travel with Glow?
Absolutely. Glow was designed to be the slimmest, most portable light therapy device—perfect for your gym bag, carry-on, or daily skincare pouch.
Discover More BioLight Products
Wordwide Shipping
We proudly serve customers worldwide and ship globally.
60-Day Trial
Try BioLight for 60 days with an easy return process.
Warranty
BioLight offers a 3-year warranty. GUARANTEED.