













ReStore Full-Body Red Light Therapy Panel: Touch Screen, Adjustable Brightness & Pulsed Frequencies
Full-body red light therapy panel with intuitive controls and customizable settings.
Product Details
** ReStore orders will be shipped directly from our manufacturer. Please allow ~3 - 4 weeks for delivery **
Thank you for your patience and understanding!
Restore (v.):
: return to a vibrant state
: implies a resumption of an original state after depletion or loss
: renew
The ReStore is the most innovative and complete full-body red light therapy panel on the market!

This updated version of the ReCharge has multiple upgrades to an already cutting-edge red light therapy panel. On top of BioLight's patent-pending Dual LED technology (that allows for every single LED to produce red or NIR light versus only red or NIR light), this panel includes:
-
No more physical buttons — now you control everything on a touch screen!
-
Light settings: red/NIR light combo, red light only & NIR light only
-
Adjustable timer
-
Adjustable light irradiance (from 1 - 100% brightness)
-
Adjustable pulsed frequencies (from 0 - 10,000 Hz)
-
Floor stand w/ wheels and door hanging kit options (both included!)

Adjustable light irradiance: Being able the adjust the brightness/power of the light allows you to further fine-tune and dictate your treatment dosage. For example, the skin and the eyes require very low treatment dosages whereas the brain, bones and nerves require much higher treatment dosages in order to realize beneficial results. By being able to manually adjust the light irradiance, you can now lower the light power to assure that you won't be "overdosing" for those conditions that require less light energy or you can increase the light irradiance to augment those conditions that require larger amounts of light energy.
Adjustable pulsed frequencies: Research has demonstrated that various pulsed frequencies of light can be beneficial for specific conditions. For example, a study utilizing 40 Hz oscillations has been shown to be especially beneficial for mitigating and/or reversing signs and symptoms of cognitive decline that precede Alzheimer's disease.

Leading the red light therapy space in safety, BioLight panels incorporate the lowest light flicker on the market and the lowest EMF emissions possible.
At the end of the day, you are getting the best of all worlds with BioLight: superior light therapy innovation, education/protocol treatments, safety and superior customer service!
Package Includes
-
ReStore panel (with power plug of your country's shipping address)
-
Door hanging kit
-
Floor stand
-
Protective eyewear
-
Owner's Manual
-
The Red Light Therapy Guide ebook
ReStore Specs
-
Dimensions: 36" x 12" x 3"
-
Weight: 18 lbs
-
LEDs: 300
-
Light Spectrum: 660nm (red) & 850nm (near-infrared)
-
Three light settings: all red, all NIR or combo red/NIR
-
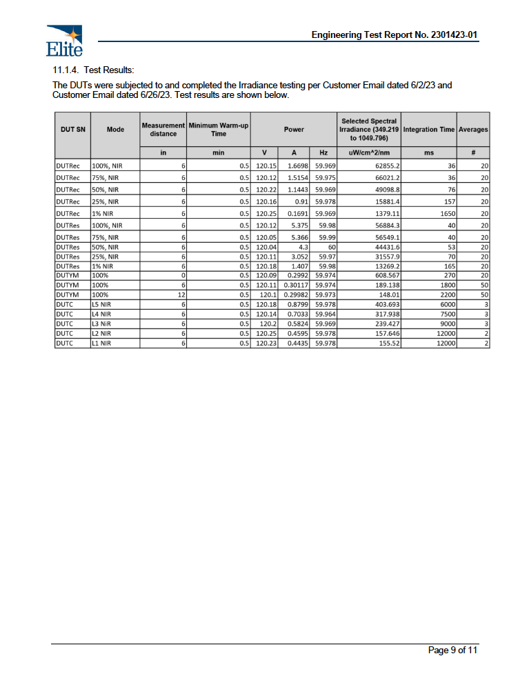
Light Irradiance (@6"):
-
100% intensity: 56.9 mW/cm²
-
75%: 56.5 mW/cm²
-
50%: 44 mW/cm²
-
25%: 32 mW/cm²
-
1%: 13 mW/cm²
-
Light Pulsing: 1 - 10,000 Hz
-
Light flicker: 1.2% modulation, 60Hz
-
EMF Emission (see picture below for safe levels):
-
Standard magnetic: 0.3 mG
-
Standard electric: 30 V/m
-
Weighted magnetic: 0.3 mG
-
Weighted electric: 24V/m
-
RF: 0.15 mW/m²
-
-
Focusing Lens Beam Angle: 30°
-
Cooling fans: 8
-
Power: 476W
-
Electrical Input: 100-240VAC 50/60Hz (meaning this panel works both with US/Canada and international power supply)
-
LED Lifespan: 100,000 Hours
-
Programmable timer
-
Return Period: 60 days
-
Warranty: 3 Years
The below is a photo from the owner's manual of the Tri-Field EMF Meter:
Third Party Test Results





How to Use
Third Party Test Results





Smart Recovery, Energy Optimization & Longevity
ReStore is a cutting-edge full-body red and near-infrared light therapy panel built for results-driven recovery and wellness—delivered straight from the comfort of your home or clinic. With a sleek vertical design, intuitive touchscreen interface, and customizable pulsed frequency settings.
Neuroprotective Support
Promotes brain health and cognitive function.
Higher Bioavailability
Ensures superior absorption for maximum efficacy.
Reduced Toxicity
Formulated for safety and minimal side effects.
Boosts Mitochondria
Supports cellular energy production and overall vitality.


Precision Wellness, Unlocked by Light
The ReStore Full-Body Red Light Therapy Panel delivers powerful red and near-infrared wavelengths through an advanced.
Questions?
Have more questions? Visit our Help Center or inquire at support@biolight.shop
What makes the ReStore panel different from other red light devices?
ReStore features a sleek touch screen, customizable brightness, and pulsed frequency options—allowing for a tailored therapy experience from head to toe.
How does pulsed frequency enhance therapy results?
Pulsed light can stimulate deeper tissue response, helping support cellular repair, reduce inflammation, and improve circulation more effectively than static light alone.
Can I use the ReStore panel daily?
Yes, it’s designed for safe, consistent use—perfect for daily recovery, skin health, and overall vitality with no downtime.
Is this panel suitable for skin and muscle care?
Absolutely. ReStore supports collagen production and cellular energy for healthier skin while also aiding muscle recovery and reducing soreness.
Discover More From BioLight
Wordwide Shipping
We proudly serve customers worldwide and ship globally.
60-Day Trial
Try BioLight for 60 days with an easy return process.
Warranty
BioLight offers a 3-year warranty. GUARANTEED.