Glow: Portable Red Light Therapy Device - Slimmest Handheld Solution for On-the-Go Relief

Availability: Many In Stock
$299.00
$299.00
Please hurry! Only -22 left in stock
Stand Option:: Glow Only
Subtotal: $299.00
10 customers are viewing this product
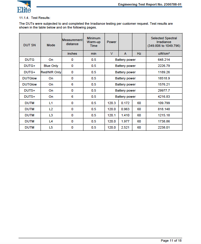
Testing results displayed for the Glow device, proving effectiveness by BioLight.

Glow: Portable Red Light Therapy Device - Slimmest Handheld Solution for On-the-Go Relief

$299.00

Glow: Portable Red Light Therapy Device - Slimmest Handheld Solution for On-the-Go Relief

$299.00
Stand Option:: Glow Only

    Instant Radiance, Deep Renewal—Anywhere, Anytime

    Glow is a pocket-friendly red/NIR handset that keeps things simple—fixed 660/850 nm output, an automated 10-minute cycle, focused 90° optics, and ~80 minutes of runtime per charge. Add the optional stand for hands-free use; the device is measured at 0.0 µT EMF with 0 Hz flicker for calm, repeatable
    Dual-Wavelength Power for Real Results

    Dual-Wavelength Power for Real Results

    Red light boosts collagen and elasticity to smooth fine lines and firm skin.

    Compact Yet Powerful Skin Rejuvenation

    Compact Yet Powerful Skin Rejuvenation

    Glow energizes skin at the cellular level—stimulating ATP production.

    Made for Busy Lives & Beauty Goals

    Made for Busy Lives & Beauty Goals

    Add the Red/NIR combo with NIR pulsing at 40 Hz—a pattern some users explore for structured, repeatable cognitive-routine protocols—alongside simple Red-only and NIR-only modes.

    Your Glow Ritual, Anytime You Need It

    Your Glow Ritual, Anytime You Need It

    Use it at home, at work, or on vacation—Glow fits seamlessly into your lifestyle.

    Detailed view of the Glow specifications for informed choices by BioLight.
    The Glow device alongside its silicone protective case, from BioLight.

    The Glow is the newest handheld red light therapy product from BioLight. It is a sleek, sexy and simple device that lives up to its name!

    Compared to the higher-powered Shine handheld device (where the light can feel harsh to the eyes), the Glow emits a much softer, more soothing light that literally relaxes, and feels nourishing to, the eyes and the rest of the body.

    Not only that, the Glow is a much simpler red light therapy device. There are no light setting options, so you don't constantly have to think about and consider which lights to use (i.e., should I used red light only? Near-infrared (NIR) light only? Combo?). You simply power on the device and enjoy the soft, calming radiance of red and NIR light.

    The Glow is also the slimmest handheld red light therapy device on the market. You can literally stick it in your pocket like a phone, making your on-the-go red light therapy treatments easier and more fashionable than ever before!

    Like all handheld BioLight devices, the Glow has zero EMF emission and zero light flicker.

    An optional stand can be added at the time of purchase to increase the versatility of the Glow and make handheld treatments truly a treat!

    Package Includes

     

    Glow Specs

    • Dimensions: 6.2" x 3" x 0.53"
    • Weight: 0.6 lbs
    • Spectrum: 660nm (red) & 850nm (NIR)
    • Light irradiance: 18.5 mW/cm ² @ 0", 1.6 mW/cm ² @ 6"
    • EMF Emission: 0.0 µT @ 0” (it can be zero since it powers via an internal battery and not electricity)
    • Light flicker: 0 Hz (like EMF emission, it can be zero because it is power via an internal battery)
    • Automated 10-minute timer
    • Focusing Lens Beam Angle: 90°
    • Power: 1W x 18 LEDs
    • Battery life: 80 minutes
    • Recharging time: 60 minutes 
    • 60-day trial period
    • Limited 3-year warranty

      

    *Due to the very low light irradiance of this device, eye protection is not required

     

    On-the-Go Glow, Backed by Science

    Glow delivers powerful red and blue light therapy in a sleek, travel-friendly design to visibly enhance skin tone, reduce breakouts, and soften fine lines. Built for daily use and proven by science, it’s your effortless path to radiant, youthful skin—anytime, anywhere.
    Designed Based on Most Current Research
    Third Party Tested
    Glow device carefully placed in a pocket, showing its portability by BioLight.

    Frequently Asked Questions

    Have more questions?

    Visit our Help Center or inquire at support@biolight.shop

    660 nm (red) and 850 nm (near-infrared), delivered by an array of 18 LEDs.
    Glow runs a 10-minute automated timer per cycle—just power on and let it run.
    Listed irradiance is about 18.5 mW/cm² @ 0″ (≈ 1.6 mW/cm² @ 6″) with 90° focusing optics for targeted coverage.
    It’s the slimmest handheld in the lineup (about 6.2″ × 3″ × 0.53″, 0.6 lb) with roughly 80 minutes of battery life and a ~60-minute recharge.
    Yes—measured at 0.0 µT @ 0″ EMF with 0 Hz flicker, thanks to the internal battery design.
    You get the Glow device, silicone protective case, USB-C cable, User Manual, and a Red Light Therapy Protocols eBook; an optional stand can be added at checkout. Warranty is 3 years with a 60-day trial.

    Recently Viewed Products