


Guardian: Oral Care Red & NIR Light Therapy Device | Patent-Pending Dual LEDs for Health & Hygiene
Oral care device employing dual red and blue LEDs for improved hygiene and gum health.
Product Details
The Guardian is the first oral care red light therapy device of its kind, with patent-pending technology that implements dual LEDs, both red & near-infrared, in your mouth.
Why is oral health so important?
The oral cavity has the second largest and diverse microbiota after the gut harboring over 700 species of bacteria – second only to the gut. The progression of health or regression toward disease is critically influenced by the microbiota. It nurtures numerous microorganisms which include bacteria, fungi, viruses and protozoa. The mouth is an exceptionally complex habitat where microbes colonize the hard surfaces of the teeth and the soft tissues of the oral mucosa. In addition to being the initiation point of digestion, the oral microbiome is crucial in maintaining both oral and systemic health.
Oral microbiome is crucial to health as it can cause both oral and systemic diseases. It rests within biofilms throughout the oral cavity and forms an ecosystem that maintains health in a state of homeostasis. However, particular imbalances in this state of equilibrium allow pathogens to develop and cause disease. This disruption of the oral microbiome leads to dysbiosis -- or an imbalance in the microbial community that is associated with disease.
To learn even more about how you can improve your health via your oral microbiome, check out The Dental Diet, by Dr. Steven Lin or Heal Your Oral Microbiome, by Cass Nelson-Dooley
Oral health & red light therapy
There is scientific literature on red light therapy and oral health that is very robust, indicating a multitude of uses that includes the following:
- Gum health/gum pain
- Infections & inflammation
- Post-surgical healing & recovery
- Periodontal wound healing
- Gingivitis
- Cold sores & herpes
- Oral mucositis
- And MORE!
Not only can red light therapy help you heal and recover from the aforementioned conditions, but it can also help you maintain optimal oral hygiene by modulating inflammation, improving circulation and boosting the health and function of the mitochondria. Learn more about red light therapy and its impact on oral health by checking out the Learn page here!
Includes
Guardian device
USB magnetic charging cord
Storage case
User manual
Guardian Specs
Wavelength: 630nm (red light) & 850nm (NIR light)
Light irradiance: 0.65 mW/cm² @ 0"
Lens Beam Angle: 120°
Automated 16-minute timer
Magnetic USB charging (Full charge lasts over 2.5 hours)
Flexible BPA-free silicone mouthpiece
Waterproof design
**ONCE THE GUARDIAN HAS BEEN USED, IT CANNOT BE RETURNED DUE TO HYGIENIC, SANITARY REASONS**
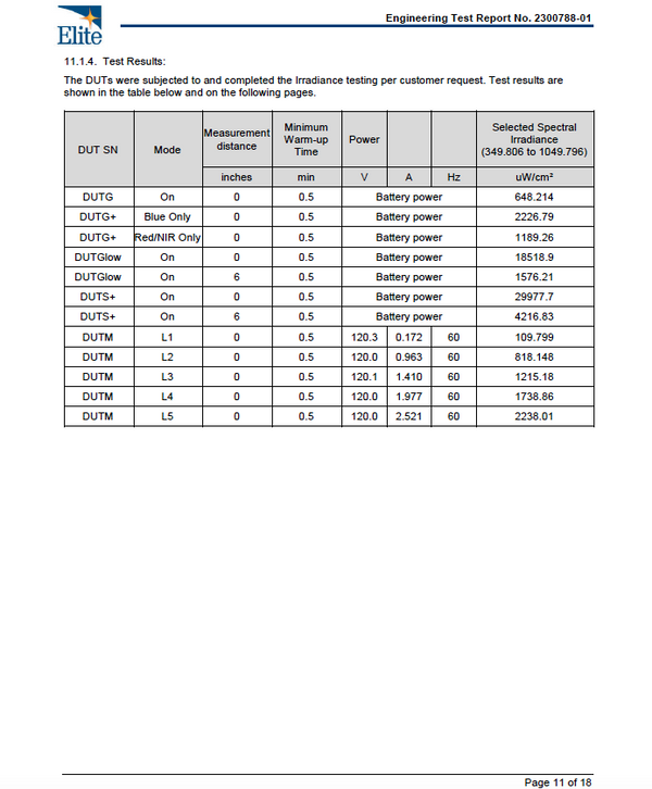
Third Party Test Results







Red & Blue/NIR Light Therapy
Dual LEDs combine stain-fighting blue light and healing red/NIR light for full-spectrum oral health support. Naturally brightens teeth, soothes gums, and supports oral immunity—no chemicals, no compromise. Red/NIR light energizes cells and boosts circulation to reduce inflammation and speed gum recovery.
Neuroprotective Support
Promotes brain health and cognitive function.
Higher Bioavailability
Ensures superior absorption for maximum efficacy.
Reduced Toxicity
Formulated for safety and minimal side effects.
Boosts Mitochondria
Supports cellular energy production and overall vitality.


Precision-Engineered for Cellular Vitality
Performance matters. Guardian uses patent-pending red and near-infrared light therapy to support mitochondrial energy, reduce inflammation, and maintain gum circulation and oral hygiene.
Questions?
Have more questions? Visit our Help Center or inquire at support@biolight.com
What does the Guardian device do?
Guardian combines red/NIR and blue light therapy to whiten teeth, reduce inflammation, and support gum and oral health.
How often should I use Guardian?
For best results, use the device once daily for 10 minutes as part of your oral care routine.
Is Guardian safe for everyday use?
Yes, it’s non-invasive, chemical-free, and designed for safe daily use with no known side effects.
How does the dual LED technology work?
Blue light targets surface stains and bacteria, while red/NIR light penetrates deeper to support healing and reduce inflammation.
Discover More From BioLight
Wordwide Shipping
We proudly serve customers worldwide and ship globally.
60-Day Trial
Try BioLight for 60 days with an easy return process.
Warranty
BioLight offers a 3-year warranty. GUARANTEED.